Share

The MSE loss is supervised loss, and Internal points loss and pressure Poisson derived from Navier-Stokes equation
In the last blog, we discussed about heat transfer through 2D plate and discussed about how it can be implemented in PyTorch by integrating heat equation for 2D plate. In this blog post, we will be discussing about heat transfer through Lid Driven Cavity. So let's get started..
A lid-driven cavity is a classic fluid dynamics problem used to study flow patterns in a square or rectangular box where one of the walls (typically the top wall) moves at a constant velocity, driving the fluid inside the cavity. The remaining walls of the cavity are stationary and typically no-slip boundary conditions are applied, meaning the fluid velocity at these walls is zero. This setup creates complex internal circulating flows as the motion of the top wall induces shear in the fluid. The lid-driven cavity problem is widely used in computational fluid dynamics to validate numerical methods and study viscous flow behavior in enclosed spaces.

Example image of how a lid driven cavity looks like
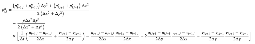
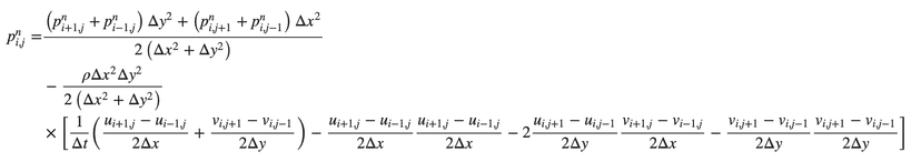
Unlike 2D plate which had heat propagation through all 4 surfaces, in LDC we only have fluid movement through one surface only which is usually the upper surface. Therefore, the physics equation for this problem is slightly different as shown in below figure:

Pressure Poisson's equation. Here u and v are velocity components in x and y direction and p is pressure.
We will be using the above equation to calculate the pressure values at different points. If you want to look into full derivation of the above equation, you can refer to the following link:Pressure Poisson's Equation.
First, we'll import the required libraries. Our model creation will leverage PyTorch, while the Latin Hypercube sampling method will be used to generate both boundary and internal points.
import numpy as np
from itertools import product
from mpl_toolkits.mplot3d import Axes3D
from matplotlib import pyplot as plt, cm
from scipy.stats.qmc import LatinHypercube
%matplotlib inline
import torch
import torch.nn as nn
from torchsummary import summary
from torch.utils.data import Dataset, DataLoader
Next we will be initializing boundary points to generate the points on top surface.
vertex1 = np.array([0, 0])
vertex2 = np.array([0, 2])
vertex3 = np.array([2, 2])
vertex4 = np.array([2, 0])
left_edge = np.array([vertex1, vertex2])
top_edge = np.array([vertex2, vertex3])
right_edge = np.array([vertex3, vertex4])
bottom_edge = np.array([vertex4, vertex1])
lhc = LatinHypercube(d=1)
n_samples = 25
samples = lhc.random(n=n_samples)
def get_boundary_points(edge, t_values):
return [edge[0] + t * (edge[1] - edge[0]) for t in t_values]
top_points, bottom_points, left_points, right_points = [], [], [], []
top_points.extend( get_boundary_points(top_edge, samples.flatten()))
bottom_points.extend( get_boundary_points(bottom_edge, samples.flatten()))
left_points.extend( get_boundary_points(left_edge, samples.flatten()))
right_points.extend( get_boundary_points( ight_edge, samples.flatten()))
import matplotlib.pyplot as plt
vertices = np.array([vertex1, vertex2, vertex3, vertex4, vertex1])
plt.plot(vertices[:,0], vertices[:,1], 'r-')
for point in top_points:
plt.plot(point[0], point[1], 'bo')
plt.xlabel('X')
plt.ylabel('Y')
plt.title('Random Points on 2D square Edges')
plt.axis('equal')
plt.legend()
plt.show()

Next step will be to generate random points inside this Lid Driven Cavity:
def random_point_in_triangle(v1, v2, v3):
weights = np.random.rand(3)
weights /= weights.sum()
x = weights[0] * v1[0] + weights[1] * v2[0] + weights[2] * v3[0]
y = weights[0] * v1[1] + weights[1] * v2[1] + weights[2] * v3[1]
return [x, y]
def generate_random_points_in_rhombus(vertex1, vertex2, vertex3, vertex4, n):
points = []
for _ in range(n):
if np.random.rand() < 0.5:
point = random_point_in_triangle(vertex1, vertex2, vertex3)
else:
point = random_point_in_triangle(vertex1, vertex3, vertex4)
points.append(point)
return np.array(points)
internal_points = generate_random_points_in_rhombus(vertex1, vertex2, vertex3, vertex4, 10000)
Then we will be generating some ground truth points using FDM method with pressure Poisson equation that will act as additional set of inputs while calculating the loss.
nx = 41
ny = 41
nt = 100
nit = 50
c = 1
dx = 2 / (nx - 1)
dy = 2 / (ny - 1)
x = np.linspace(0, 2, nx)
y = np.linspace(0, 2, ny)
X, Y = np.meshgrid(x, y)
rho = 1
nu = .1
dt = .001
u = np.zeros((ny, nx))
v = np.zeros((ny, nx))
p = np.zeros((ny, nx))
b = np.zeros((ny, nx))
def build_up_b(b, rho, dt, u, v, dx, dy):
b[1:-1, 1:-1] = (
rho *
(
1 / dt *
(
(u[1:-1, 2:] - u[1:-1, 0:-2]) / (2 * dx) +
(v[2:, 1:-1] - v[0:-2, 1:-1]) / (2 * dy)
) -
(
(u[1:-1, 2:] - u[1:-1, 0:-2]) / (2 * dx)
)**2 -
2 *
(
(u[2:, 1:-1] - u[0:-2, 1:-1]) / (2 * dy) *
(v[1:-1, 2:] - v[1:-1, 0:-2]) / (2 * dx)
) -
(
(v[2:, 1:-1] - v[0:-2, 1:-1]) / (2 * dy)
)**2
)
)
return b
def pressure_poisson(p, dx, dy, b):
pn = np.empty_like(p)
pn = p.copy()
for q in range(nit):
pn = p.copy()
p[1:-1, 1:-1] = (((pn[1:-1, 2:] + pn[1:-1, 0:-2]) * dy**2 + (pn[2:, 1:-1] + pn[0:-2, 1:-1]) * dx**2) / (2 * (dx**2 + dy**2)) - dx**2 * dy**2 / (2 * (dx**2 + dy**2)) * b[1:-1,1:-1])
p[:, -1] = p[:, -2] # dp/dx = 0 at x = 2
p[0, :] = p[1, :] # dp/dy = 0 at y = 0
p[:, 0] = p[:, 1] # dp/dx = 0 at x = 0
p[-1, :] = 0 # p = 0 at y = 2
return p
def cavity_flow(nt, u, v, dt, dx, dy, p, rho, nu):
un = np.empty_like(u)
vn = np.empty_like(v)
b = np.zeros((ny, nx))
for n in range(nt):
un = u.copy()
vn = v.copy()
b = build_up_b(b, rho, dt, u, v, dx, dy)
p = pressure_poisson(p, dx, dy, b)
u[1:-1, 1:-1] = (un[1:-1, 1:-1] - un[1:-1, 1:-1] * dt / dx * (un[1:-1, 1:-1] - un[1:-1, 0:-2]) - vn[1:-1, 1:-1] * dt / dy * (un[1:-1, 1:-1] - un[0:-2, 1:-1]) - dt / (2 * rho * dx) * (p[1:-1, 2:] - p[1:-1, 0:-2]) + nu * (dt / dx**2 * (un[1:-1, 2:] - 2 * un[1:-1, 1:-1] + un[1:-1, 0:-2]) + dt / dy**2 * (un[2:, 1:-1] - 2 * un[1:-1, 1:-1] + un[0:-2, 1:-1])))
v[1:-1,1:-1] = (vn[1:-1, 1:-1] - un[1:-1, 1:-1] * dt / dx * (vn[1:-1, 1:-1] - vn[1:-1, 0:-2]) - vn[1:-1, 1:-1] * dt / dy * (vn[1:-1, 1:-1] - vn[0:-2, 1:-1]) - dt / (2 * rho * dy) * (p[2:, 1:-1] - p[0:-2, 1:-1]) + nu * (dt / dx**2 * (vn[1:-1, 2:] - 2 * vn[1:-1, 1:-1] + vn[1:-1, 0:-2]) + dt / dy**2 * (vn[2:, 1:-1] - 2 * vn[1:-1, 1:-1] + vn[0:-2, 1:-1])))
u[0, :] = 0
u[:, 0] = 0
u[:, -1] = 0
u[-1, :] = 1 # set velocity on cavity lid equal to 1
v[0, :] = 0
v[-1, :] = 0
v[:, 0] = 0
v[:, -1] = 0
return u, v, p
u, v, p = cavity_flow(nt, u, v, dt, dx, dy, p, rho, nu)
x = np.linspace(0, 2, nx)
y = np.linspace(0, 2, ny)
X, Y = np.meshgrid(x, y)
xx = np.linspace(0, X[0,:].shape[0], 22)[1:-1].astype(int)
yy = np.linspace(0, Y[0,:].shape[0], 22)[1:-1].astype(int)
points = np.array(list(product(xx, yy)))
pp = p[points[:,0], points[:,1]]
xx = points[:,1]
yy = points[:,0]
r_x = torch.tensor(X[0,:][xx], dtype = torch.float32)
r_y = torch.tensor(Y[:,0][yy], dtype = torch.float32)
r_p = torch.tensor(pp, dtype = torch.float32).reshape(-1,1)
p_data_X = torch.column_stack([r_x, r_y])
p_data_Y = r_p.reshape(-1, 1)
plt.scatter(r_x, r_y, c=r_p)
plt.colorbar()

In the next step, we will be defining the dataset classes for Boundary, internal and points derived from pressure Poisson equation.
class EdgePointsDataset(Dataset):
def __init__(self, points):
self.X = torch.tensor(points[0].astype(np.float32))
self.y = torch.tensor(points[1].astype(np.float32))
def __len__(self):
return len(self.X)
def __getitem__(self, idx):
return self.X[idx], self.y[idx]
class InternalPointsDataset(Dataset):
def __init__(self, X):
self.X = torch.tensor(X.astype(np.float32), requires_grad=True)
def __len__(self):
return len(self.X)
def __getitem__(self, idx):
return self.X[idx]
class PressurePointsDataset(Dataset):
def __init__(self, points):
self.X = points[0]
self.y = points[1]
def __len__(self):
return len(self.X)
def __getitem__(self, idx):
return self.X[idx], self.y[idx]
# Creating points list
edge_points_X = np.array(top_points + bottom_points + left_points + right_points)
edge_points_y = np.array([[1.0, 0.0, 0.0]]*len(top_points) + [[0.0, 0.0, 0.0]]*len(bottom_points) + [[0.0, 0.0, 0.0]]*len(left_points) + [[0.0, 0.0, 0.0]]*len(right_points))
edge_points = [edge_points_X, edge_points_y]
pressure_points = [p_data_X, p_data_Y]
# Dataset class
edge_points_dataset = EdgePointsDataset(edge_points)
internal_points_dataset = InternalPointsDataset(internal_points)
pressure_points_dataset = PressurePointsDataset(pressure_points)
# Dataloader
edge_points_dataloader = DataLoader(edge_points_dataset, batch_size=10, shuffle=True)
internal_points_dataloader = DataLoader(internal_points_dataset, batch_size=1000, shuffle=True)
pressure_points_dataloader = DataLoader(pressure_points_dataset, batch_size=40, shuffle=True)
In the next step, we will be creating the Neural network class.
class NeuralNet(nn.Module):
def __init__(self, input_neurons, hidden_neurons, output_neurons):
super(NeuralNet, self).__init__()
self.input_shape = input_neurons
self.output_shape = output_neurons
self.hidden_neurons = hidden_neurons
self.input_layer = nn.Linear(input_neurons, hidden_neurons)
self.hidden_layer1 = nn.Linear(hidden_neurons, hidden_neurons)
self.hidden_layer2 = nn.Linear(hidden_neurons, hidden_neurons)
self.hidden_layer3 = nn.Linear(hidden_neurons, hidden_neurons)
self.output_layer = nn.Linear(hidden_neurons, output_neurons)
self.tanh = nn.Tanh()
def forward(self, x):
x = self.input_layer(x)
x = self.tanh(x)
x = self.hidden_layer1(x)
x = self.tanh(x)
x = self.hidden_layer2(x)
x = self.tanh(x)
x = self.hidden_layer3(x)
x = self.tanh(x)
x = self.output_layer(x)
return x
Initializing model parameters and other hyperparameters
device = 'cuda' if torch.cuda.is_available() else 'cpu'
model = NeuralNet(2, 10, 3).to(device)
optimizer = torch.optim.Adam(model.parameters(), lr = 5e-4)
loss_fn = nn.MSELoss()
Printing the model summary
summary(model, (1, 2))

Training the model on the above initialized points.
loss_values, edge_loss_values, internal_loss_values, pressure_loss_values = [], [], [], []
epoch = 10000
for i in range(epoch):
total_loss, edge_loss_total, internal_points_loss_total, pressure_points_loss_total = 0.0, 0.0, 0.0, 0.0
for (edge_points, outputs), internal_points, (pressure_points, pressure_val) in zip(edge_points_dataloader, internal_points_dataloader, pressure_points_dataloader):
optimizer.zero_grad()
edge_points = edge_points.to(device)
outputs = outputs.to(device)
out = model(edge_points)
edge_points_loss = loss_fn(out, outputs)
internal_points = internal_points.to(device)
out_internal = model(internal_points)
du_dx = torch.autograd.grad(out_internal[:,0], internal_points, torch.ones_like(out_internal[:,0]), create_graph=True)[0][:, 0]
du2_dx2 = torch.autograd.grad(du_dx, internal_points, torch.ones_like(du_dx), create_graph=True)[0][:, 0]
du_dy = torch.autograd.grad(out_internal[:,0], internal_points, torch.ones_like(out_internal[:,0]), create_graph=True)[0][:, 1]
du2_dy2 = torch.autograd.grad(du_dy, internal_points, torch.ones_like(du_dy), create_graph=True)[0][:, 1]
dv_dx = torch.autograd.grad(out_internal[:,1], internal_points, torch.ones_like(out_internal[:,1]), create_graph=True)[0][:, 0]
dv2_dx2 = torch.autograd.grad(dv_dx, internal_points, torch.ones_like(dv_dx), create_graph=True)[0][:, 0]
dv_dy = torch.autograd.grad(out_internal[:,1], internal_points, torch.ones_like(out_internal[:,1]), create_graph=True)[0][:, 1]
dv2_dy2 = torch.autograd.grad(dv_dy, internal_points, torch.ones_like(dv_dy), create_graph=True)[0][:, 1]
dp_dx = torch.autograd.grad(out_internal[:,2], internal_points, torch.ones_like(out_internal[:,2]), create_graph=True)[0][:,0]
dp2_dx2 = torch.autograd.grad(dp_dx, internal_points, torch.ones_like(dp_dx), create_graph=True)[0][:, 0]
dp_dy = torch.autograd.grad(out_internal[:,2], internal_points, torch.ones_like(out_internal[:,2]), create_graph=True)[0][:,1]
dp2_dy2 = torch.autograd.grad(dp_dy, internal_points, torch.ones_like(dp_dy), create_graph=True)[0][:,1]
u = out_internal[:,0]
v = out_internal[:,1]
p = out_internal[:,2]
eq1 = u * du_dx + v * du_dy + (1/rho) * dp_dx - nu * (du2_dx2+du2_dy2)
eq2 = u * dv_dx + v * dv_dy + (1/rho) * dp_dy - nu * (dv2_dx2+dv2_dy2)
eq3 = du_dx + dv_dy
internal_points_loss = torch.mean(eq1**2) + torch.mean(eq2**2) + torch.mean(eq3**2)
pressure_points = pressure_points.to(device)
pressure_val = pressure_val.to(device)
out_pressure = model(pressure_points)
pressure_loss = loss_fn(out_pressure[:, 2].reshape(40, 1), pressure_val)
loss = edge_points_loss + internal_points_loss + pressure_loss
loss.backward()
optimizer.step()
total_loss += loss.item()
edge_loss_total += edge_points_loss.item()
internal_points_loss_total += internal_points_loss.item()
pressure_points_loss_total += pressure_loss.item()
loss_values.append(total_loss)
edge_loss_values.append(edge_loss_total)
internal_loss_values.append(internal_points_loss_total)
pressure_loss_values.append(pressure_points_loss_total)
if (i+1) % 1000 == 0:
print(f"Epoch {i+1}, Training Loss: {total_loss}, Edge Points Loss: {edge_loss_total}, Internal Points Loss: {internal_points_loss_total}, Pressure Points Loss: {pressure_points_loss_total}")
plt.plot(loss_values, label="netloss")
plt.plot(edge_loss_values, label="loss1")
plt.plot(internal_loss_values, label="loss2")
plt.plot(pressure_loss_values, label="loss3")
plt.legend()
The below plot shows the loss curve for all the three types of losses that were calculated while training the above model.

Loss Curves for all three losses (edge points loss, internal points loss and pressure points loss)
Incorporate AI ML into your workflows to boost efficiency, accuracy, and productivity. Discover our artificial intelligence services.
View All
Tracing the evolution of generative AI from academic research to real-world creative content production.
A hands-on tutorial on using Physics-Informed Neural Networks to model the classic lid-driven cavity flow problem.
Step-by-step guide to applying PINNs for modeling heat transfer and stress in 2D plate structures.
© Copyright Fast Code AI 2026. All Rights Reserved